Eglise St Eloi

Hazebrouck

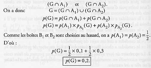
Correction Exercice 1

Exercice 2 (Niveau 2)

Page d'accueil

 

 

 

Envoyez un courrier électronique à delp.carlier@tiscali.fr pour toute question ou remarque concernant ce site Web
Dernière modification : 22 juin 2006